Reverse Nodes in k-Group LeetCode Solution
Given a linked list, reverse the nodes of a linked list k at a time and return its modified list.
k is a positive integer and is less than or equal to the length of the linked list. If the number of nodes is not a multiple of k then left-out nodes, in the end, should remain as it is.
Follow up:
- Could you solve the problem in
O(1)extra memory space? - You may not alter the values in the list’s nodes, only nodes itself may be changed.
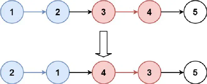
Example 1:

Input: head = [1,2,3,4,5], k = 2 Output: [2,1,4,3,5]
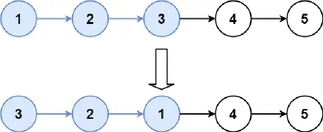
Example 2:

Input: head = [1,2,3,4,5], k = 3 Output: [3,2,1,4,5]
Example 3:
Input: head = [1,2,3,4,5], k = 1 Output: [1,2,3,4,5]
Example 4:
Input: head = [1], k = 1 Output: [1]
Constraints:
- The number of nodes in the list is in the range
sz. 1 <= sz <= 50000 <= Node.val <= 10001 <= k <= sz